ПРИКАЗ МИНИСТЕРСТВА ЗДРАВООХРАНЕНИЯ РОССИЙСКОЙ ФЕДЕРАЦИИ от 26 октября 2017 г. N 871н
ОБ УТВЕРЖДЕНИИ ПОРЯДКА ОПРЕДЕЛЕНИЯ НАЧАЛЬНОЙ (МАКСИМАЛЬНОЙ) ЦЕНЫ КОНТРАКТА, ЦЕНЫ КОНТРАКТА, ЗАКЛЮЧАЕМОГО С ЕДИНСТВЕННЫМ ПОСТАВЩИКОМ (ПОДРЯДЧИКОМ, ИСПОЛНИТЕЛЕМ), ПРИ ОСУЩЕСТВЛЕНИИ ЗАКУПОК ЛЕКАРСТВЕННЫХ ПРЕПАРАТОВ ДЛЯ МЕДИЦИНСКОГО ПРИМЕНЕНИЯ
- ПРИКАЗ МИНИСТЕРСТВА ЗДРАВООХРАНЕНИЯ РОССИЙСКОЙ ФЕДЕРАЦИИ от 26 октября 2017 г. N 871н
- ОБ УТВЕРЖДЕНИИ ПОРЯДКА ОПРЕДЕЛЕНИЯ НАЧАЛЬНОЙ (МАКСИМАЛЬНОЙ) ЦЕНЫ КОНТРАКТА, ЦЕНЫ КОНТРАКТА, ЗАКЛЮЧАЕМОГО С ЕДИНСТВЕННЫМ ПОСТАВЩИКОМ (ПОДРЯДЧИКОМ, ИСПОЛНИТЕЛЕМ), ПРИ ОСУЩЕСТВЛЕНИИ ЗАКУПОК ЛЕКАРСТВЕННЫХ ПРЕПАРАТОВ ДЛЯ МЕДИЦИНСКОГО ПРИМЕНЕНИЯ
- ПОРЯДОК ОПРЕДЕЛЕНИЯ НАЧАЛЬНОЙ (МАКСИМАЛЬНОЙ) ЦЕНЫ КОНТРАКТА, ЦЕНЫ КОНТРАКТА, ЗАКЛЮЧАЕМОГО С ЕДИНСТВЕННЫМ ПОСТАВЩИКОМ (ПОДРЯДЧИКОМ, ИСПОЛНИТЕЛЕМ), ПРИ ОСУЩЕСТВЛЕНИИ ЗАКУПОК ЛЕКАРСТВЕННЫХ ПРЕПАРАТОВ ДЛЯ МЕДИЦИНСКОГО ПРИМЕНЕНИЯ
- Как получить бесплатные материалы по 44-ФЗ и системе госзакупок?
(в ред. Приказа Минздрава РФ от 26.06.2018 N 386н)
В соответствии с частью 22 статьи 22 Федерального закона от 5 апреля 2013 г. N 44-ФЗ “О контрактной системе в сфере закупок товаров, работ, услуг для обеспечения государственных и муниципальных нужд” (Собрание законодательства Российской Федерации, 2013, N 14, ст. 1652; N 52, ст. 6961; 2014, N 23, ст. 2925; N 48, ст. 6637; 2015, N 10, ст. 1418; N 29, ст. 4342, ст. 4346; 2016, N 26, ст. 3890; 2017, N 31, ст. 4780) и пунктом 1 постановления Правительства Российской Федерации от 8 февраля 2017 г. N 149 “О федеральном органе исполнительной власти, уполномоченном на установление порядка определения начальной (максимальной) цены контракта, цены контракта, заключаемого с единственным поставщиком (подрядчиком, исполнителем), при осуществлении закупок лекарственных препаратов для медицинского применения” (Собрание законодательства Российской Федерации, 2017, N 7, ст. 1088; N 23, ст. 3359) приказываю:
1.Утвердить прилагаемый Порядок определения начальной (максимальной) цены контракта, цены контракта, заключаемого с единственным поставщиком (подрядчиком, исполнителем), при осуществлении закупок лекарственных препаратов для медицинского применения.
2.Настоящий приказ не применяется в отношении закупок товаров для обеспечения государственных и муниципальных нужд, извещения об осуществлении которых размещены в единой информационной системе в сфере закупок или на официальном сайте Российской Федерации в информационно-коммуникационной сети “Интернет” для размещения информации о размещении заказов на поставки товаров, выполнение работ, оказание услуг либо приглашения принять участие в которых направлено до дня вступления в силу настоящего приказа.
Министр
В.И. СКВОРЦОВА
УТВЕРЖДЕН
приказом
Министерства здравоохранения
Российской Федерации
от 26 октября 2017 N 871н
ПОРЯДОК ОПРЕДЕЛЕНИЯ НАЧАЛЬНОЙ (МАКСИМАЛЬНОЙ) ЦЕНЫ КОНТРАКТА, ЦЕНЫ КОНТРАКТА, ЗАКЛЮЧАЕМОГО С ЕДИНСТВЕННЫМ ПОСТАВЩИКОМ (ПОДРЯДЧИКОМ, ИСПОЛНИТЕЛЕМ), ПРИ ОСУЩЕСТВЛЕНИИ ЗАКУПОК ЛЕКАРСТВЕННЫХ ПРЕПАРАТОВ ДЛЯ МЕДИЦИНСКОГО ПРИМЕНЕНИЯ
(в ред. Приказа Минздрава РФ от 26.06.2018 N 386н)
1.Настоящий порядок определяет единые правила расчета заказчиками начальной (максимальной) цены контракта, цены контракта, заключаемого с единственным поставщиком (подрядчиком, исполнителем) (далее – НМЦК) при осуществлении закупок лекарственных препаратов для медицинского применения (далее – лекарственные препараты) для обеспечения государственных и муниципальных нужд.
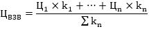
2.Расчет НМЦК осуществляется по формуле:
,
где:
n – количество поставляемых лекарственных препаратов;
Цi – цена единицы планируемого к закупке i-го лекарственного препарата с учетом налога на добавленную стоимость (далее – НДС) и оптовой надбавки <1>;
<1> Сноска утратила силу. (в ред. Приказа Минздрава РФ от 26.06.2018 N 386н)
Vi – объем поставки i-го лекарственного препарата.
2(1).При расчете НМЦК оптовые надбавки, размер которых не должен превышать предельных размеров оптовых надбавок, установленных органами исполнительной власти субъектов Российской Федерации (статья 63 Федерального закона от 12 апреля 2010 г. N 61-ФЗ “Об обращении лекарственных средств” (Собрание законодательства Российской Федерации, 2010, N 16, ст. 1815; 2015, N 29, ст. 4367), применяются при осуществлении закупок лекарственных препаратов, которые включены в перечень жизненно необходимых и важнейших лекарственных препаратов (за исключением случаев осуществления закупки у производителя лекарственных препаратов): (в ред. Приказа Минздрава РФ от 26.06.2018 N 386н)
а)для обеспечения федеральных нужд, если НМЦК не превышает десять миллионов рублей, а также если НМЦК свыше десяти миллионов рублей, при условии непревышения цены единицы планируемого к закупке лекарственного препарата над ценой такого лекарственного препарата, содержащейся в государственном реестре предельных отпускных цен производителей на лекарственные препараты, включенные в перечень жизненно необходимых и важнейших лекарственных препаратов; (в ред. Приказа Минздрава РФ от 26.06.2018 N 386н)
б)для обеспечения нужд субъекта Российской Федерации, муниципальных нужд, если НМЦК не превышает размер, который установлен высшим исполнительным органом государственной власти субъекта Российской Федерации и составляет не более десяти миллионов рублей, а также если НМЦК свыше установленного высшим исполнительным органом государственной власти субъекта (в ред. Приказа Минздрава РФ от 26.06.2018 N 386н)
Российской Федерации размера или свыше десяти миллионов рублей, при условии непревышения цены единицы планируемого к закупке лекарственного препарата над ценой такого лекарственного препарата, содержащейся в государственном реестре предельных отпускных цен производителей на лекарственные препараты, включенные в перечень жизненно необходимых и важнейших лекарственных препаратов. (в ред. Приказа Минздрава РФ от 26.06.2018 N 386н)
3.Цена единицы планируемого к закупке лекарственного препарата устанавливается по одному наименованию (международному непатентованному наименованию, при отсутствии такого наименования – по группировочному или химическому наименованию, а также составу комбинированного лекарственного препарата) с учетом эквивалентных лекарственных форм и дозировок посредством:
а)применения методов, предусмотренных частями 2 – 6 и 8 статьи 22 Федерального закона “О контрактной системе в сфере закупок товаров, работ, услуг для обеспечения государственных и муниципальных нужд”, без учета НДС и оптовой надбавки;
б)расчета средневзвешенной цены на основании всех исполненных заказчиком государственных (муниципальных) контрактов или договоров на поставку планируемого к закупке лекарственного препарата с учетом эквивалентных лекарственных форм и дозировок за 12 месяцев, предшествующих месяцу расчета (далее – средневзвешенная цена), за исключением государственных (муниципальных) контрактов или договоров на поставку лекарственных препаратов необходимых для назначения пациенту при наличии медицинских показаний (индивидуальная непереносимость, по жизненным показаниям) по решению врачебной комиссии медицинской организации:(в ред. Приказа Минздрава РФ от 26.06.2018 N 386н)
,
где:
– цена единицы лекарственного препарата без учета НДС и оптовой надбавки;
k – количество закупленных лекарственных препаратов в эквивалентных лекарственных формах и дозировках.
в)использования цены, которая рассчитывается автоматически в единой государственной информационной системе в сфере здравоохранения <2> (далее – референтная цена <3>) в соответствии с пунктом 4 настоящего Порядка сведения о которой предоставляются в единую информационную систему в сфере закупок <4> посредством информационного взаимодействия между указанными системами.
<2> Абзац тринадцатый пункта 13 статьи 3 Федерального закона от 29 июля 2017 г. N 242-ФЗ “О внесении изменений в отдельные законодательные акты Российской Федерации по вопросам применения информационных технологий в сфере охраны здоровья” (Собрание законодательства Российской Федерации, 2017, N 31, ст. 4791).
<3> Положения подпункта “в” пункта 3 настоящего Порядка не применяются до 1 января 2019 года в отношении использования референтной цены при расчете НМЦК. (в ред. Приказа Минздрава РФ от 26.06.2018 N 386н)
<4> Постановление Правительства Российской Федерации от 23 декабря 2015 г. N 1414 “О порядке функционирования единой информационной системы в сфере закупок” (Собрание законодательства Российской Федерации, 2016, N 2, ст. 324; 2017, N 17, ст. 2565).
4.Расчет референтных цен производится автоматически с учетом объемов закупки посредством использования ресурсов единой государственной информационной системы в сфере здравоохранения (далее – ЕГИСЗ) по состоянию на 1 января, 1 апреля, 1 июля и 1 октября текущего года в рамках одного наименования (международного непатентованного наименования, при отсутствии такого наименования – по группировочному или химическому наименованию, а также составу комбинированного лекарственного препарата) с учетом эквивалентных лекарственных форм и дозировок (далее – группа лекарственных препаратов) по следующей формуле:
,
где:
– цены за единицу лекарственного препарата по данным контрактов за 12 месяцев, предшествующих месяцу расчета <4.1>, из единой информационной системы в сфере закупок, без учета НДС и оптовой надбавки; (в ред. Приказа Минздрава РФ от 26.06.2018 N 386н)
<4.1> До 1 июля 2019 года в расчет цены за единицу лекарственного препарата принимаются данные заключенных контрактов без учета НДС, после указанной даты – данные исполненных контрактов без учета НДС и оптовой надбавки. (в ред. Приказа Минздрава РФ от 26.06.2018 N 386н)
– объем поставки лекарственного препарата для отдельной группы лекарственных препаратов;
– цена единицы лекарственного препарата для отдельной группы лекарственных препаратов.
5.За цену единицы планируемого к закупке лекарственного препарата заказчиком принимается минимальное значение цены из цен, рассчитанных им с одновременным применением методов, предусмотренных пунктом 3 настоящего Порядка. (в ред. Приказа Минздрава РФ от 26.06.2018 N 386н)
6.В случае если на участие в закупке не подано ни одной заявки по НМЦК с ценой единицы планируемого к закупке лекарственного препарата, определенной в соответствии с подпунктом “а” пункта 3 настоящего Порядка или средневзвешенной цены, при объявлении следующей закупки в качестве цены единицы планируемого к закупке лекарственного препарата принимается референтная цена <5>.
<5> До 1 июля 2018 года при объявлении следующей закупки ценой единицы планируемого к закупке лекарственного препарата считается следующее минимальное значение, рассчитанное в соответствии с частями 2 – 6 статьи 22 Федерального закона от 5 апреля 2013 г. N 44-ФЗ “О контрактной системе в сфере закупок товаров, работ, услуг для обеспечения государственных и муниципальных нужд” (Собрание законодательства Российской Федерации, 2013, N 14, ст. 1652; N 52, ст. 6961; 2014, N 23, ст. 2925; N 48, ст. 6637; 2015, N 10, ст. 1418; N 29, ст. 4342, ст. 4346; 2016, N 26, ст. 3890).
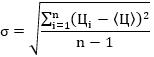
7.В случае если на участие в закупке не подано ни одной заявки по НМЦК, рассчитанной на основании референтной цены, при объявлении следующей закупки цена единицы планируемого к закупке лекарственного препарата определяется путем увеличения референтной цены на показатель среднеквадратичного отклонения, который рассчитывается автоматически посредством ЕГИСЗ по формуле:
,
где:
– показатель среднеквадратичного отклонение;
– значение цены единицы лекарственного вещества, полученное для контракта с номером i;
n – количество значений, используемых в расчете;
– средняя арифметическая величина единицы лекарственного препарата по выборке.
8.В случае признания закупки с увеличенной референтной ценой несостоявшейся, если на участие в закупке не подано ни одной заявки, цена единицы планируемого к закупке лекарственного препарата повторно увеличивается на показатель среднеквадратичного отклонения. При этом цена единицы планируемого к закупке лекарственного препарата не должна превышать максимального значения цены, содержащейся в государственном реестре зарегистрированных предельных отпускных цен производителей на лекарственные препараты, включенные в перечень жизненно необходимых и важнейших лекарственных препаратов (далее – реестр), с учетом эквивалентных лекарственных форм и дозировок.
9.В отношении лекарственного препарата, включенного в перечень жизненно необходимых и важнейших лекарственных препаратов (далее – ЖНВЛП), по которому референтная цена отсутствует, или закупка с НМЦК, рассчитанной в соответствии с пунктом 8 настоящего Порядка, признается несостоявшейся, в случае если на участие в закупке не подано ни одной заявки, при объявлении следующей закупки в качестве цены единицы планируемого к закупке лекарственного препарата принимается цена не выше максимального значения цены, предусмотренного реестром с учетом эквивалентных лекарственных форм и дозировок. (в ред. Приказа Минздрава РФ от 26.06.2018 N 386н)
10.В отношении лекарственного препарата, не включенного в ЖНВЛП, по которому референтная цена отсутствует, или закупка с НМЦК, рассчитанной в соответствии с пунктом 8 настоящего Порядка, признается несостоявшейся, в случае если на участие в закупке не подано ни одной заявки, при объявлении следующей закупки цена единицы планируемого к закупке лекарственного препарата увеличивается на индекс-дефлятор по видам экономической деятельности, определяемых Министерством экономического развития Российской Федерации в рамках разработки прогноза социально-экономического развития Российской Федерации <6> и не может превышать максимальное значение предложений производителей (поставщиков) лекарственных препаратов.
<6> Используется прогнозное значение индекса-дефлятора, устанавливаемое Министерством экономического развития Российской Федерации для соответствующей отрасли в соответствии с постановлением Правительства Российской Федерации от 14 ноября 2015 г. N 1234 “О порядке разработки, корректировки, осуществления мониторинга и контроля реализации прогноза социально-экономического развития Российской Федерации на среднесрочный период и признании утратившими силу некоторых актов Правительства Российской Федерации” (Собрание законодательства Российской Федерации, 2015, N 47, ст. 6598; 2017, N 38, ст. 5627), – “Химическая и производство резиновых и пластмассовых изделий”.
В случае если на участие в закупке не подано ни одной заявки по НМЦК, рассчитанной путем увеличения на индекс-дефлятор по видам экономической деятельности, ценой единицы планируемого к закупке лекарственного препарата принимается цена, рассчитанная на основании предложений производителей (поставщиков) лекарственных препаратов.
Как получить бесплатные материалы по 44-ФЗ и системе госзакупок?
Чтобы получить эту информацию, а также получать полезные материалы по 44-ФЗ и системе госзакупок каждые две недели, подпишитесь на рассылку. Это бесплатно.
А прямо сейчас Вы можете бесплатно и без регистрации воспользоваться сервисом расчета ОКПД2/КТРУ и НМЦК